Home
/ Tentukan Modus Dari Data Berikut : Tentukan Modus Dari Data Pada Histogram Berikut 24 5 29 5 34 5 Mas Dayat / 1.tentukan mean dari data data berikut a.3.2.4.3.3.
Tentukan Modus Dari Data Berikut : Tentukan Modus Dari Data Pada Histogram Berikut 24 5 29 5 34 5 Mas Dayat / 1.tentukan mean dari data data berikut a.3.2.4.3.3.
Tentukan Modus Dari Data Berikut : Tentukan Modus Dari Data Pada Histogram Berikut 24 5 29 5 34 5 Mas Dayat / 1.tentukan mean dari data data berikut a.3.2.4.3.3.. Modus dari data tunggal merupakan data yang sering muncul atau data dengan frekuensi tertinggi. 8, 9, 6, 7, 6, 9, 8, 8, 8. Tentukan nilai desil ketiga dari data pada tabel 5. {18, 21, 11, 21, 15, 19, 17, 21. Berikut adalah informasi yang menunjukkan jumlah penumpang datang, berangkat, dan transit dari 4 bandar udara di negara prakerja
Tentukan nilai desil ketiga dari data pada tabel 5. Hal ini disebut dengan bimodus dimana data memiliki dua modus. Untuk membagi data menjadi empat bagian yang sama besar diperlukan 3 sekat ( q 1 , q 2 , q 3 ). 1.insan melemparkan sebuah dadu sebanyak 150 kali. Jika data berupa sebaran frekuensi, modus ditentukan dengan rumus.
Mean Median Dan Modus Quipper Blog from i1.wp.com Tentukan modus dari data berikut: Modus data berkelompok bisa ditentukan berdasarkan nilai tengah kelas interval yang memiliki frekuensi terbanyak. Tepi bawah kelas modus p : 9, p, 6, 4, 3, 5, q, 5, 7, 4. 8, 9, 6, 7, 6, 9, 8, 8, 8. 65,70,75,75,80,85,85,90,95 jadi modusnya adalah 75 3. Jumlah hasil dari nilai tengah di kali dengan frekuensi. Berikut adalah informasi yang menunjukkan jumlah penumpang datang, berangkat, dan transit dari 4 bandar udara di negara prakerja
Jika data yang diperoleh berukuran besar, data perlu dikelompokkan agar penentuan modus mudah dilakukan.
Syarat data harus diurutkan dari terkecil hingga terbesar. Frekwensi modus pada data diatas adalah 18, sedangkan kelas modus diatas adalah. Panjang kelas d 1 : Modus data di atas adalah 7 karena 7 muncul sebanyak 4 kali. Tentukan modus dari data yang disajikan di atas! Modus data berkelompok pakailah rumus dibawah ini jika data ditampilkan dalam bentuk tabel distribusi frekuensi. Modus dari data tunggal merupakan data yang sering muncul atau data dengan frekuensi tertinggi. Modus data tunggal berikut contohnya: Modus dari data tunggal adalah data yang paling sering muncul. 65,70,75,75,80,85,85,90,95 jadi modusnya adalah 75 3. 1.insan melemparkan sebuah dadu sebanyak 150 kali. Hal ini disebut dengan bimodus dimana data memiliki dua modus. Contoh soal median data tunggal.
Karena banyak datanya 60, maka mediannya pastilah berada pada data ke 30 yang terdapat di kelas ke 5 dari atas. Nilai modus yang lebih halus bisa diperoleh dengan menggunakan rumus di bawah ini. Selisih frekuensi kelas modus dengan kelas sesudahnya. Menentukan modus dalam data tunggal tak perlu menggunakan rumus apapun, kita hanya perlu mengurutkan data dari yang terkecil hingga terbesar, seperti contoh soal berikut ini sobat. Nah, berapa nilai modus dari data berkelompok yang kita punya?
Pengantar Statistika Pengertian Data Statistik Ppt Download from slideplayer.info Nah, berapa nilai modus dari data berkelompok yang kita punya? Tentukan median dari data berikut. Jika data berupa sebaran frekuensi, modus ditentukan dengan rumus. Modus data tunggal berikut contohnya: Selisih frekuensi kelas modus dengan kelas sesudahnya. Berikut adalah informasi yang menunjukkan jumlah penumpang datang, berangkat, dan transit dari 4 bandar udara di negara prakerja Namun nilai yang dihasilkan dari nilai tengah kelas interval ini adalah nilai yang kasar. 1.tentukan mean dari data data berikut a.3.2.4.3.3.
Tentukan nilai p + q dan tentukan nilai p dan q.
Tentukan modus dari data pada histogram berikut! Maka tentukan nilai dari modus data yang. Untuk mencari mean maka kita dapat menggunakan rumus berikut ini: Modus dari data tunggal merupakan data yang sering muncul atau data dengan frekuensi tertinggi. Misalkan kita akan menghitung modus dari 10 data berikut: Cara menentukan modus adalah dengan menghitung frekuensi semua data lalu memilih data yang frekuensi munculnya terbesar. Lemansanti96 is waiting for your help. Tentukan modus dari data kelompok berikut ini! Pertama, tentukan dahulu banyak datanya. Selisih frekuensi kelas modus dengan kelas sebelumnya d 2 : Carilah q 2 terlebih dulu untuk mencari q 1 dan q 3. Amati tabel berikut ini dan cari modus kelompoknya. Modus data tunggal berikut contohnya:
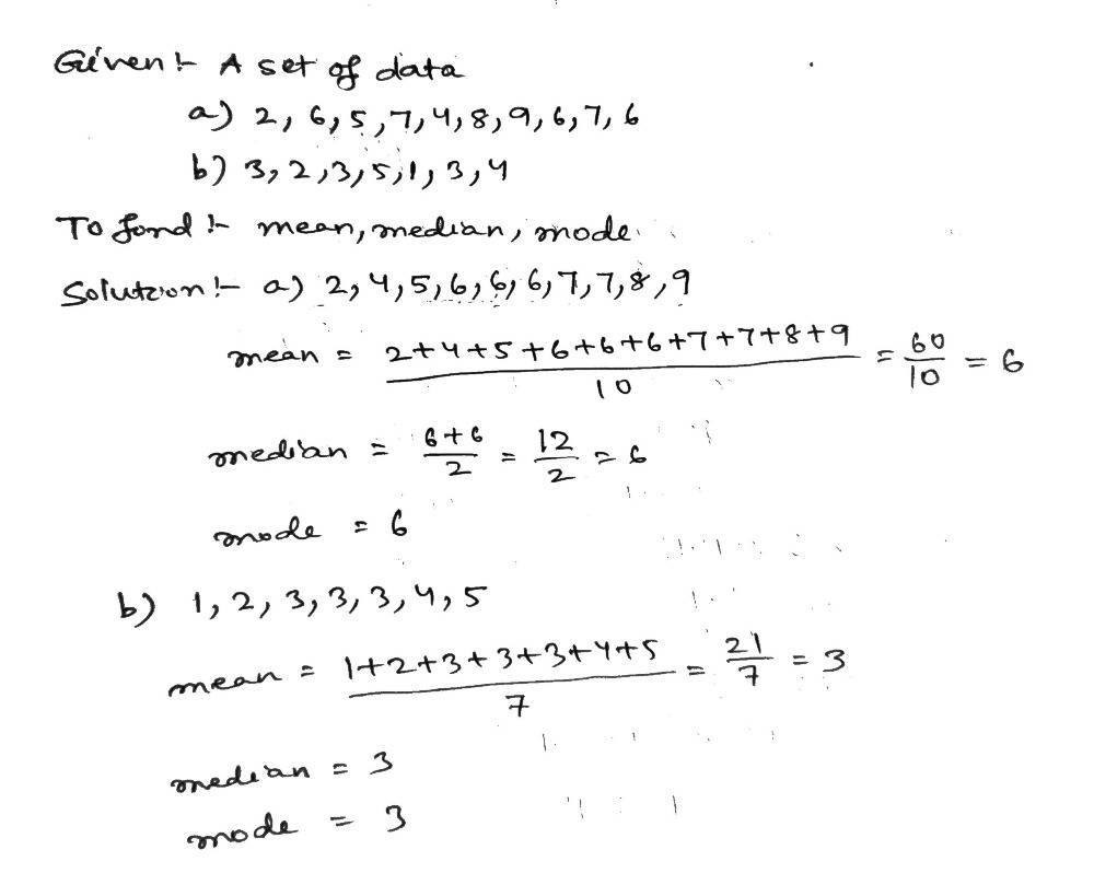
Lemansanti96 is waiting for your help. {18, 21, 11, 21, 15, 19, 17, 21. Tentukan mean, median, dan modus dari data berikut! Maaf saya cuma tau modusnya. Tentukan modus dari data dibawah ini:
Statistika Fadjar Shadiq M App Sc Widyaiswara Pppptk from slidetodoc.com Hal ini disebut dengan bimodus dimana data memiliki dua modus. Tentukan modus dari data berikut: Karena banyak datanya 60, maka mediannya pastilah berada pada data ke 30 yang terdapat di kelas ke 5 dari atas. Tentukan nilai p + q dan tentukan nilai p dan q. Amati tabel berikut ini dan cari modus kelompoknya. Maka tentukan nilai dari modus data yang. Tentukan modus dari data kelompok berikut ini! Cara menentukan modus adalah dengan menghitung frekuensi semua data lalu memilih data yang frekuensi munculnya terbesar.
8, 9, 6, 7, 6, 9, 8, 8, 8.
Tepi bawah kelas modus p : Modus data berkelompok pakailah rumus dibawah ini jika data ditampilkan dalam bentuk tabel distribusi frekuensi. Tentukan modus dari data kelompok berikut ini! Carilah q 2 terlebih dulu untuk mencari q 1 dan q 3. Data yang memiliki 1 modus disebut unimodal, data yang memiliki 2 modus disebut bimodal dan data yang mempunyai lebih dari 2 modus disebut multimodal. Buatlah tabel distribusi dari data berikut ini dan tentukanlah nilai modus, median dan mean dari data tersebut. Menentukan modus dalam data tunggal tak perlu menggunakan rumus apapun, kita hanya perlu mengurutkan data dari yang terkecil hingga terbesar, seperti contoh soal berikut ini sobat. 8, 9, 6, 7, 6, 9, 8, 8, 8. Modus dari data di atas adalah berat badan 36 kg karena mempunyai nilai frekuensi terbesar. Frekwensi modus pada data diatas adalah 18, sedangkan kelas modus diatas adalah. Jika dalam suatu data terdapat dua modus, maka disebut bimodus. 7, 9, 8, 10, 6, 8, 6, 8, 7, 8 dari data tersebut angka 8 muncul paling sering yaitu empat kali, angka 6 dan 7. Modus data tunggal adalah nilai yang paling sering muncul dalam suatu kumpulan data tunggal.
Share
Post a Comment
for "Tentukan Modus Dari Data Berikut : Tentukan Modus Dari Data Pada Histogram Berikut 24 5 29 5 34 5 Mas Dayat / 1.tentukan mean dari data data berikut a.3.2.4.3.3."
Post a Comment for "Tentukan Modus Dari Data Berikut : Tentukan Modus Dari Data Pada Histogram Berikut 24 5 29 5 34 5 Mas Dayat / 1.tentukan mean dari data data berikut a.3.2.4.3.3."